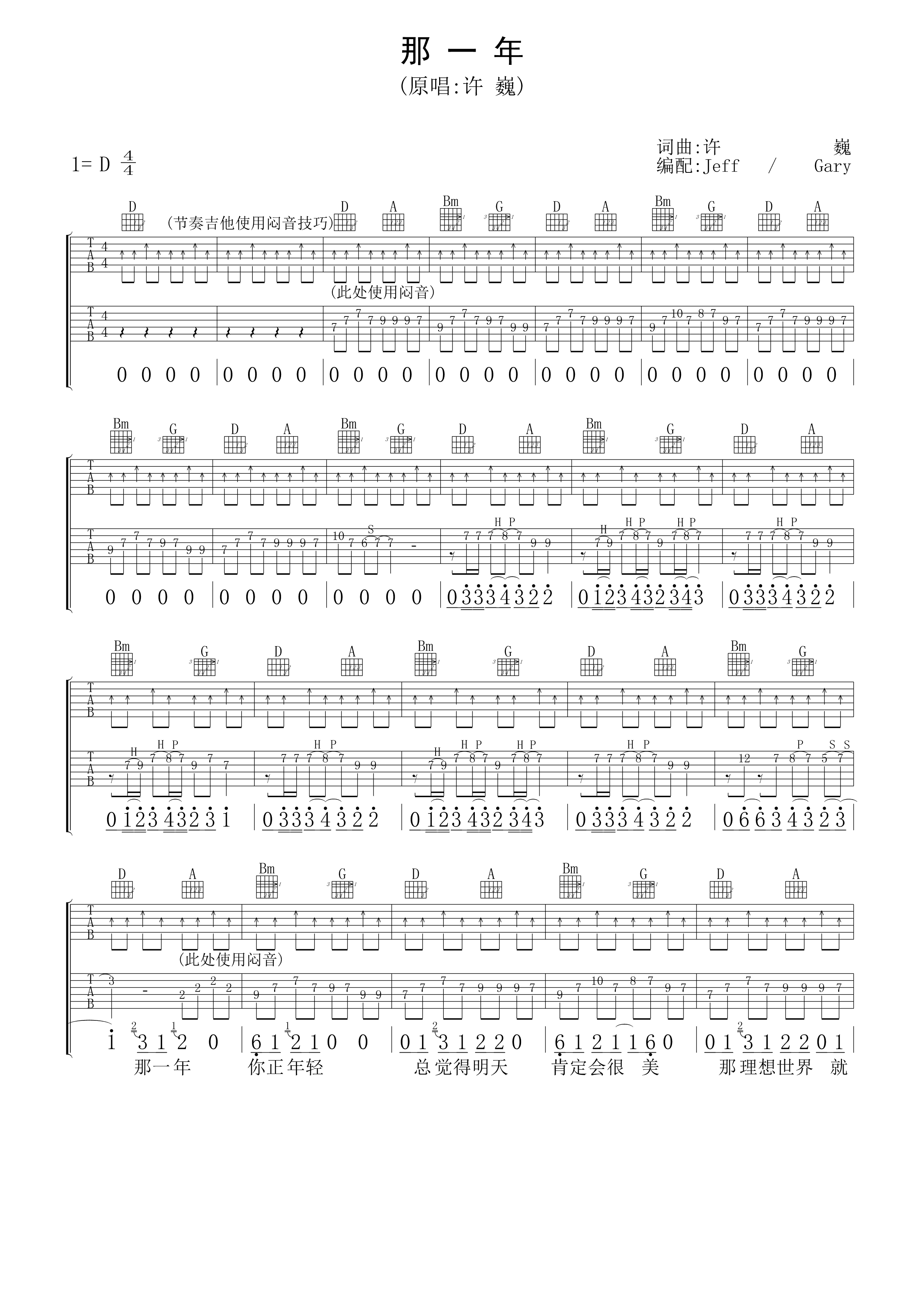
那一年吉他谱,歌曲原调为D调,此版本的曲谱来源于@Jeff,为4/4拍的节奏,按D调指法编配,共4张高清吉他谱,变调夹不夹为原歌曲的调式,演唱时可按个人音域选择合适的变调夹位置。
这首歌的特色在于,如果是双吉他配合演奏的话,效果会更好。此次分享的为双吉他版本的《那一年》弹唱吉他谱,采用D调指法,横按虽然较多,但是不难,需要注意的是前奏的闷音部分。
那一年吉他谱,歌曲原调为D调,此版本的曲谱来源于@Jeff,为4/4拍的节奏,按D调指法编配,共4张高清吉他谱,变调夹不夹为原歌曲的调式,演唱时可按个人音域选择合适的变调夹位置。
这首歌的特色在于,如果是双吉他配合演奏的话,效果会更好。此次分享的为双吉他版本的《那一年》弹唱吉他谱,采用D调指法,横按虽然较多,但是不难,需要注意的是前奏的闷音部分。
星空吉他谱,歌曲原调为A调,此版本的曲谱来源于@网络转载,为4/4拍的节奏,按G调指法编配,共3张高清吉他谱,变调夹2品为原歌曲的调式,演唱时可按个人音域选择合适的变调夹位置。这首歌的旋律非常美,听到这首歌把你的灵魂置身于一个绝美的境地,仿佛在蔚蓝色星空下、面向辽阔的原野、轻抚微风都出现在我们面前。...
曾经的你吉他谱,歌曲原调为E调,此版本的曲谱来源于@弦心距,为4/4拍的节奏,按C调指法编配,共4张高清吉他谱,变调夹4品为原歌曲的调式,演唱时可按个人音域选择合适的变调夹位置。歌曲扫弦节奏为常用节奏型,但是单音solo中带有附点音符的节奏,不太好把握,可以多多感受一下原曲的节奏,有了solo的加入之后,歌曲的丰满性顿时增添了不少。...
曾经的你吉他谱,歌曲原调为E调,此版本的曲谱来源于@高音教,为4/4拍的节奏,按D调指法编配,共2张高清吉他谱,变调夹2品为原歌曲的调式,演唱时可按个人音域选择合适的变调夹位置。整首歌节奏欢快自然、朗朗上口,那句“曾梦想仗剑走天涯,看一看世界的繁华”更是被无数人传颂。...
那一年吉他谱,歌曲原调为D调,此版本的曲谱来源于@高音教,为4/4拍的节奏,按C调指法编配,共3张高清吉他谱,变调夹2品为原歌曲的调式,演唱时可按个人音域选择合适的变调夹位置。很经典的一首歌,在弹奏时需要注意扫弦的层次,前奏部分闷音扫弦是全曲的灵魂,多体会五和弦的魅力。...
旅行吉他谱,歌曲原调为#F调,此版本的曲谱来源于@吉他专家,为4/4拍的节奏,按D调指法编配,共3张高清吉他谱,变调夹4品为原歌曲的调式,演唱时可按个人音域选择合适的变调夹位置。许巍说,旅行是经历种种景色的地理意义上的跋涉,人生更是这样一场需要经历风雨的“旅行”。...
漫步吉他谱,歌曲原调为A调,此版本的曲谱来源于@无限延音,为4/4拍的节奏,按G调指法编配,共3张高清吉他谱,变调夹2品为原歌曲的调式,演唱时可按个人音域选择合适的变调夹位置。漫步人生的道路上,很多事来不及思考,就这样自然发生了,在丰富多彩的路上,注定经历风雨。很多事情我们无法选择它是否要发生,那就顺其自然吧。...
完美生活吉他谱,歌曲原调为E调,此版本的曲谱来源于@吉他专家,为4/4拍的节奏,按C调指法编配,共3张高清吉他谱,变调夹4品为原歌曲的调式,演唱时可按个人音域选择合适的变调夹位置。谁又能拒绝许巍的歌呢,他的歌不用多说,基本首首都是经典。...
曾经的你吉他谱,歌曲原调为A调,此版本的曲谱来源于@又又吉他,为4/4拍的节奏,按A调指法编配,共3张高清吉他谱,变调夹不夹为原歌曲的调式,演唱时可按个人音域选择合适的变调夹位置。原版A调横按较多,为了凸显气势,这里用到了左手切音技巧,难度较大。...
蓝莲花吉他谱,歌曲原调为降E调,此版本的曲谱来源于@韩韩,为4/4拍的节奏,按D调指法编配,共4张高清吉他谱,变调夹1品为原歌曲的调式,演唱时可按个人音域选择合适的变调夹位置。这是一首很佛系的歌曲,其实许巍的很多歌都是这种风格,通过这首歌许巍表达了他对唐朝法师玄奘的敬仰。这个版本的谱子编配调式比较适合女生演唱,如果男生演唱可以选择其他版本。...
温暖吉他谱,歌曲原调为G调,此版本的曲谱来源于@老姚吉他,为4/4拍的节奏,按G调指法编配,共4张高清吉他谱,变调夹不夹为原歌曲的调式,演唱时可按个人音域选择合适的变调夹位置。许巍的歌声一如既往地好听,这首歌明明唱的是人间烟火,却唱出一片灵性与静美。伴奏依然让人沉醉,希望这位摇滚诗人,能写出更多属于这个时代的伟大作品。...
曾经的你吉他谱,歌曲原调为E调,此版本的曲谱来源于@无限延音,为4/4拍的节奏,按E调指法编配,共3张高清吉他谱,变调夹不夹为原歌曲的调式,演唱时可按个人音域选择合适的变调夹位置。一首对青春岁月的怀念之歌和无悔宣言,让我们更清楚的知道许巍是从哪里来的,歌曲中所表露的坚定的勇气和自信是一种自然而然的力量。...
像风一样自由吉他谱,歌曲原调为E调,此版本的曲谱来源于@吉他专家,为4/4拍的节奏,按C调指法编配,共3张高清吉他谱,变调夹4品为原歌曲的调式,演唱时可按个人音域选择合适的变调夹位置。这首歌旋律和歌词就像歌名一样,自由洒脱。我们活着,心灵应当自由。不受贪嗔痴的纠缠禁锢,不受他人眼光的压力。修炼自己,锻炼自己,成为自己。...
故乡吉他谱,歌曲原调为降B调,此版本的曲谱来源于@甲壳虫琴行,为4/4拍的节奏,按G调指法编配,共3张高清吉他谱,变调夹3品为原歌曲的调式,演唱时可按个人音域选择合适的变调夹位置。这是一首来自许巍很能引起听众共鸣的歌曲。许巍的许多歌都是这样,所以被很多人奉为经典。这个版本的谱子有一定难度,附点、切分一个不落,谱中带有>的表示重音。...
蓝莲花吉他谱,歌曲原调为降E调,此版本的曲谱来源于@高音教,为4/4拍的节奏,按C调指法编配,共2张高清吉他谱,变调夹3品为原歌曲的调式,演唱时可按个人音域选择合适的变调夹位置。这首歌曲的歌词没有豪言壮语,曲调亦无跌宕起伏之处,整首歌以一种平静祥和的口吻唱出来,但却震撼了千万人的心灵。...
蓝莲花吉他谱,歌曲原调为降E调,此版本的曲谱来源于@弦心距,为4/4拍的节奏,按C调指法编配,共5张高清吉他谱,变调夹3品为原歌曲的调式,演唱时可按个人音域选择合适的变调夹位置。许巍的经典歌曲蓝莲花,被无数歌迷所喜爱。这个版本为双吉他版本的吉他谱,带原版solo,很适合两把吉他配合演奏,但如果只有一把吉他的话,弹奏扫弦部分伴奏即可。...
2025-10-20
2025-10-20
2025-10-20
2025-10-20
2025-10-20
2025-10-20
2025-10-20
2025-10-20
2025-10-20
2025-10-20
2025-10-26
2025-10-26
2025-10-26
2025-10-26
2025-10-26
2025-10-25
2025-10-25
2025-10-25
2025-10-25
2025-10-25
Copyright © 2025 曲谱部落 www.qupubuluo.com 版权所有 All rights reserved.晋ICP备18008165号-14 sitemap